👨‍💼 CUSTOMER CARE NO +918468865271

⭐ TOP RATED SELLER ON AMAZON, FLIPKART, EBAY & WALMART

🏆 TRUSTED FOR 10+ YEARS

  • From India to the World — Discover Our Global Stores

🚚 Extra 10% + Free Shipping? Yes, Please!

Shop above ₹5000 and save 10% instantly—on us!

THANKYOU10

West Bengal SSC (School Service Commission) Group - C & Group - D Guide Book (Bengali Version) 2025

Sale price Rs.392.00 Regular price Rs.560.00
Tax included


Genuine Products Guarantee

We guarantee 100% genuine products, and if proven otherwise, we will compensate you with 10 times the product's cost.

Delivery and Shipping

Products are generally ready for dispatch within 1 day and typically reach you in 3 to 5 days.

Get 100% refund on non-delivery or defects

On Prepaid Orders

Author: Lila Roy
Editor in Chief: Dr. Sujoy Kumar Sikder, WBCS (Exe), Ph.D. (Visva Bharati)
Publisher: Bright Academy
Publication Year: 2025
Format: Paperback
Language: Bengali

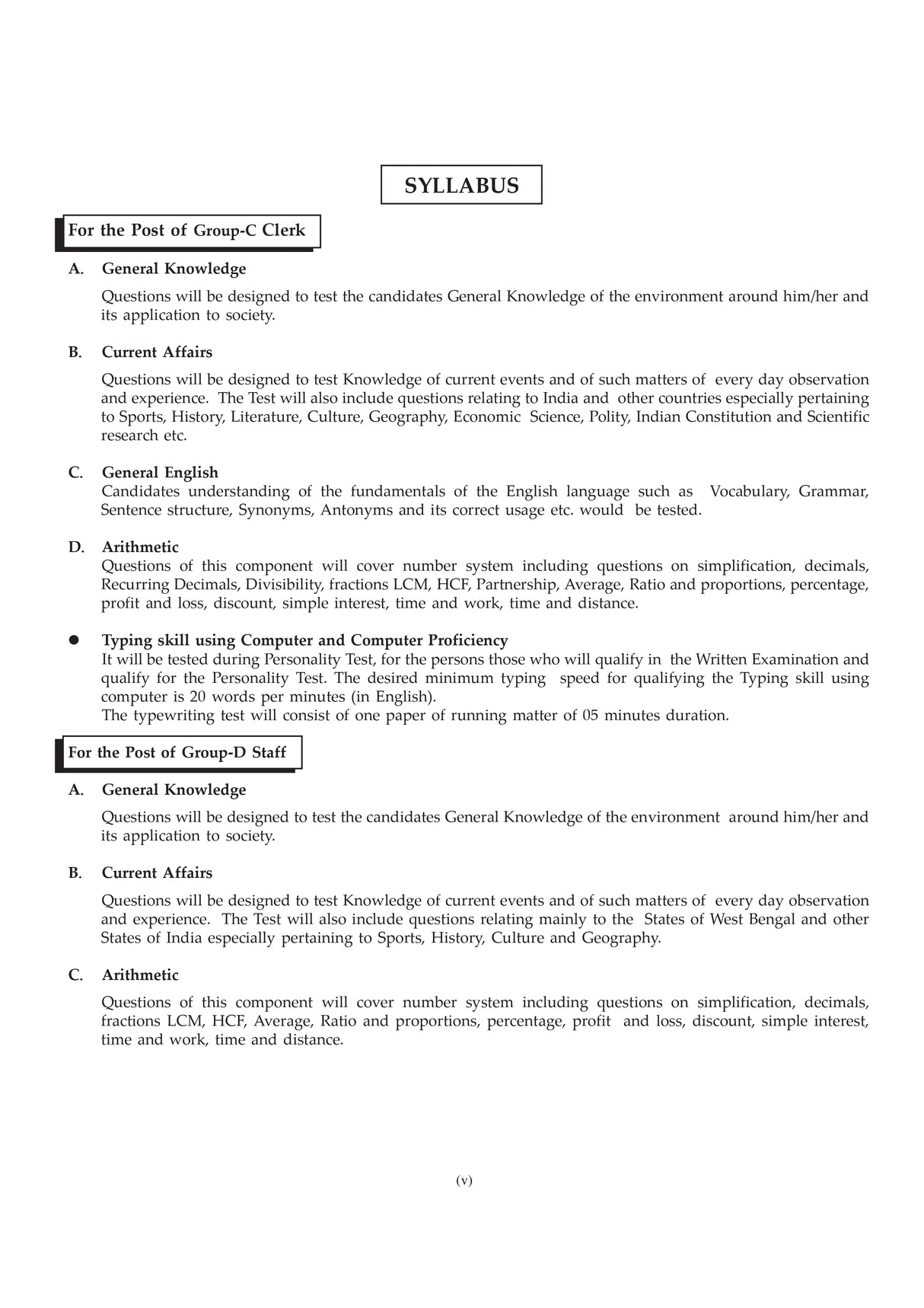
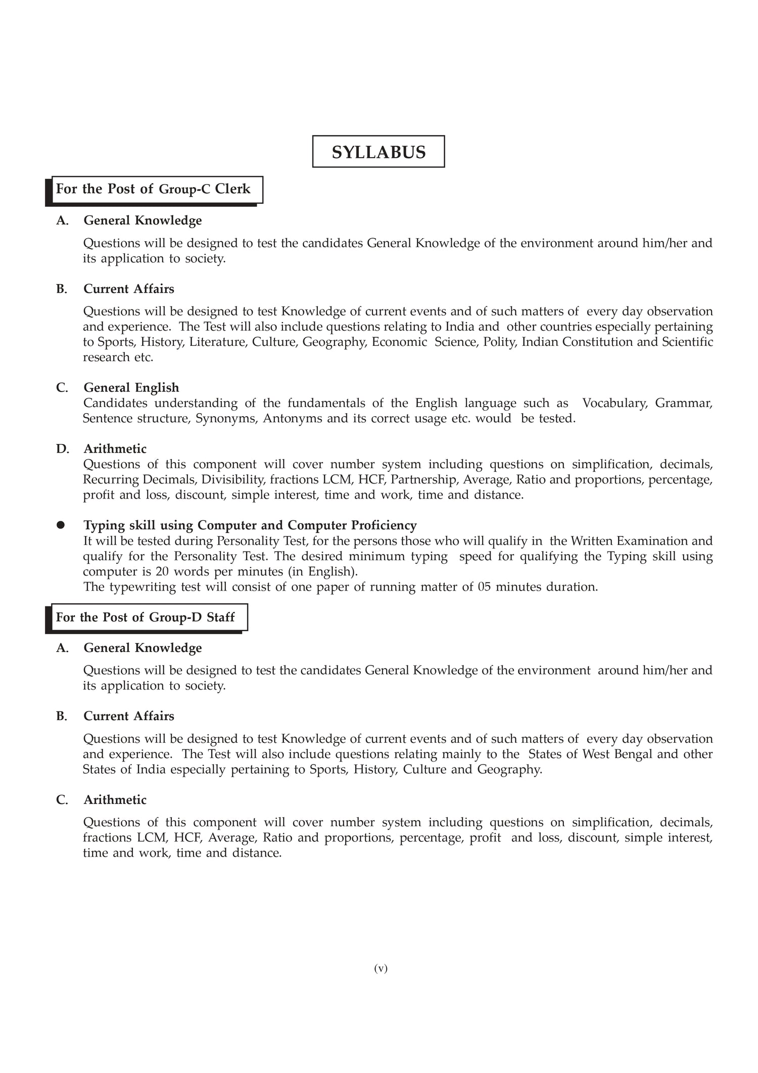
• This comprehensive guide book is tailored for candidates preparing for the West Bengal School Service Commission (SSC) Group C and Group D examinations in 2025.
• It covers essential subjects including General Knowledge, Current Affairs, Mathematics, and English to help aspirants excel in the competitive exams.
• The book contains over 7000 multiple-choice questions (MCQs) designed to provide extensive practice and improve exam readiness.
• Contributions from subject matter specialists ensure accurate and relevant content across disciplines like Mathematics, Chemistry, English, Zoology, and Environmental Studies.
• Edited under the expert guidance of Dr. Sujoy Kumar Sikder, a distinguished WBCS officer with a Ph.D. from Visva Bharati, the book offers authoritative and well-structured preparation material.
• Ideal for serious aspirants aiming to secure positions in West Bengal’s school service, this book balances theory, practice, and current affairs in a user-friendly Bengali language format.